Tf.nn.softmax_cross_entropy_with_logits Explained

O.Artsplacecanmore 11 views
Tf.nn.softmax_cross_entropy_with_logits Explained

tf.nn.softmax_cross_entropy_with_logits Explained

Let’s dive deep into tf.nn.softmax_cross_entropy_with_logits . This TensorFlow function is a cornerstone for many classification tasks, especially when dealing with neural networks. Guys, if you’re working on image recognition, natural language processing, or any problem where you need to assign probabilities to different classes, you’ll likely encounter this function. So, let’s break down what it does, how it works, and why it’s so darn useful.

What is tf.nn.softmax_cross_entropy_with_logits ?

At its core, tf.nn.softmax_cross_entropy_with_logits calculates the softmax cross-entropy loss between logits and labels. Sounds like a mouthful, right? Let’s unpack it:

  • Logits: These are the raw, unnormalized predictions from your neural network’s output layer. Think of them as scores for each class before applying a softmax function. They can be any real number – positive, negative, or zero.
  • Softmax: This is an activation function that converts those logits into probabilities. It ensures that each value is between 0 and 1, and that all the values sum up to 1, effectively giving you a probability distribution over the classes.
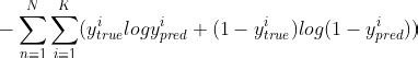
  • Cross-Entropy: This is a loss function that measures the difference between two probability distributions: the predicted probabilities (from softmax) and the true probabilities (the labels). It quantifies how well your model’s predictions match the actual classes. The goal during training is to minimize this cross-entropy loss.

tf.nn.softmax_cross_entropy_with_logits combines these three steps into one convenient function. It takes the logits and the true labels as input, performs the softmax calculation internally, and then computes the cross-entropy loss. This combination is numerically more stable than performing softmax and cross-entropy calculations separately, particularly when dealing with very large or very small logit values. Using tf.nn.softmax_cross_entropy_with_logits helps prevent potential issues with vanishing or exploding gradients during the training process.

Why Use This Function?

  • Numerical Stability: As mentioned, combining softmax and cross-entropy in one function enhances numerical stability. Separately calculating softmax can lead to issues with very large or very small numbers, which can cause gradients to vanish or explode during training. This integrated approach mitigates these problems.
  • Convenience: It simplifies your code. Instead of writing separate functions for softmax and cross-entropy, you can use this single function to achieve the same result. This leads to cleaner, more readable code.
  • Efficiency: TensorFlow’s optimized implementation ensures that this function is computationally efficient, making your training process faster.

How Does it Work?

Under the hood, tf.nn.softmax_cross_entropy_with_logits performs the following steps:

  1. Softmax Calculation: It applies the softmax function to the input logits. The softmax function is defined as:

    softmax(x)_i = exp(x_i) / sum(exp(x_j)) for all j

    Where x is the vector of logits, and i is the index of a particular class. This transforms the logits into a probability distribution.

  2. Cross-Entropy Calculation: It then calculates the cross-entropy loss between the softmax output and the true labels. The cross-entropy loss is defined as:

    H(p, q) = -sum(p_i * log(q_i))

    Where p is the true probability distribution (the labels), and q is the predicted probability distribution (the softmax output). This measures the dissimilarity between the two distributions.

  3. Averaging (Optional): The function returns a tensor of the same shape as the labels, where each element represents the cross-entropy loss for a specific example. You can then average these losses across all examples to get a single scalar value representing the overall loss.

Understanding the Inputs and Outputs

To effectively use tf.nn.softmax_cross_entropy_with_logits , it’s crucial to understand its inputs and outputs:

Inputs:

  • logits : A Tensor of type float32 or float64 . These are the unscaled log probabilities. The shape typically corresponds to [batch_size, num_classes] , where batch_size is the number of examples in a batch, and num_classes is the number of classes.
  • labels : A Tensor of the same type as logits . These are the true labels for each example. The shape typically corresponds to [batch_size, num_classes] . Important : The labels should be in a one-hot encoded format. One-hot encoding means that for each example, the correct class is represented by a 1, and all other classes are represented by 0. For example, if you have three classes and the second class is the correct one, the one-hot encoded label would be [0, 1, 0] . However, the function can also handle sparse labels via tf.nn.sparse_softmax_cross_entropy_with_logits .

Output:

The function returns a Tensor of the same shape as the labels input but containing the cross-entropy loss for each corresponding entry. If labels has a shape of [batch_size, num_classes] , the output will also have a shape of [batch_size, num_classes] , where each element represents the cross-entropy loss for that particular class and example. You’ll typically reduce this to a single scalar value representing the mean loss across all examples using tf.reduce_mean() to compute the final loss.

Example Usage

Let’s look at a simple example of how to use tf.nn.softmax_cross_entropy_with_logits :

import tensorflow as tf

# Example logits and labels
logits = tf.constant([[2.0, 1.0, 0.1], [1.5, 0.5, 0.2]], dtype=tf.float32)
labels = tf.constant([[0.0, 1.0, 0.0], [1.0, 0.0, 0.0]], dtype=tf.float32)

# Calculate the cross-entropy loss
loss = tf.nn.softmax_cross_entropy_with_logits(logits=logits, labels=labels)

# Print the loss for each example
print(loss.numpy())

# Calculate the mean loss
mean_loss = tf.reduce_mean(loss)

# Print the mean loss
print(mean_loss.numpy())

In this example, we have two examples and three classes. The logits represent the model’s raw predictions, and the labels represent the true classes in a one-hot encoded format. We calculate the cross-entropy loss using tf.nn.softmax_cross_entropy_with_logits and then calculate the mean loss across all examples using tf.reduce_mean . This mean loss is what you would typically use to update your model’s weights during training.

Practical Considerations

Here are some practical considerations when using tf.nn.softmax_cross_entropy_with_logits :

  • One-Hot Encoding: Ensure that your labels are properly one-hot encoded. This is crucial for the function to work correctly. If your labels are not one-hot encoded, you might need to convert them using tf.one_hot() or consider using tf.nn.sparse_softmax_cross_entropy_with_logits .
  • Data Type: The logits and labels should be of the same data type, either float32 or float64 . Mismatched data types can lead to errors.
  • Shape Compatibility: The shapes of the logits and labels tensors should be compatible. Typically, they should both have a shape of [batch_size, num_classes] .
  • Sparse Labels: If your labels are sparse (i.e., represented as integers indicating the class index), you should use tf.nn.sparse_softmax_cross_entropy_with_logits instead. This function is specifically designed to handle sparse labels and avoids the need for one-hot encoding.
  • Gradient Clipping: In some cases, you might encounter exploding gradients during training, even when using tf.nn.softmax_cross_entropy_with_logits . Gradient clipping can help mitigate this issue by limiting the magnitude of the gradients. You can implement gradient clipping using tf.clip_by_global_norm() .

Alternatives

While tf.nn.softmax_cross_entropy_with_logits is a popular choice, there are some alternatives you might consider:

  • tf.nn.sparse_softmax_cross_entropy_with_logits : This function is used when your labels are sparse (i.e., represented as integers indicating the class index) rather than one-hot encoded vectors. It’s more memory-efficient when dealing with a large number of classes.
  • tf.keras.losses.CategoricalCrossentropy : This is a Keras loss function that provides similar functionality to tf.nn.softmax_cross_entropy_with_logits . It can be used with Keras models and supports both one-hot encoded and sparse labels.
  • Custom Implementation: You can also implement the softmax and cross-entropy calculations manually using TensorFlow operations. However, this is generally not recommended due to the numerical stability and performance benefits of using the built-in functions.

Common Mistakes

Here are some common mistakes to avoid when using tf.nn.softmax_cross_entropy_with_logits :

  • Forgetting One-Hot Encoding: Failing to one-hot encode your labels when using tf.nn.softmax_cross_entropy_with_logits is a common mistake. This will lead to incorrect loss calculations and poor model performance.
  • Using the Wrong Function for Sparse Labels: Using tf.nn.softmax_cross_entropy_with_logits with sparse labels will result in errors. Make sure to use tf.nn.sparse_softmax_cross_entropy_with_logits when your labels are sparse.
  • Mismatched Data Types: Using different data types for the logits and labels tensors can cause errors. Ensure that both tensors have the same data type (e.g., float32 ).
  • Ignoring Shape Compatibility: Incompatible shapes between the logits and labels tensors can lead to errors. Make sure that the shapes are compatible, typically [batch_size, num_classes] for both tensors.
  • Not Reducing the Loss: The output of tf.nn.softmax_cross_entropy_with_logits is a tensor of losses for each example. You need to reduce this tensor to a single scalar value (e.g., using tf.reduce_mean() ) to get the overall loss for the batch.

Conclusion

tf.nn.softmax_cross_entropy_with_logits is a powerful and essential function for classification tasks in TensorFlow. It combines the softmax activation and cross-entropy loss calculation into a single, numerically stable operation. By understanding its inputs, outputs, and practical considerations, you can effectively use this function to train your neural networks and achieve state-of-the-art results. Remember to properly one-hot encode your labels, use the correct function for sparse labels, and ensure data type and shape compatibility. With these tips in mind, you’ll be well on your way to building successful classification models. Now go on and build awesome stuff, guys!