Tan 450 Degrees: Understanding The Value And Calculation

O.Artsplacecanmore 119 views
Tan 450 Degrees: Understanding The Value And Calculation

Tan 450 Degrees: Understanding the Value and Calculation

Hey guys! Let’s dive into figuring out what tan 450 degrees actually means. It might seem tricky at first, but once you break it down, it’s super straightforward. We’ll cover the basics of trigonometry, how angles work, and how to calculate the tangent of angles larger than 360 degrees. Ready? Let’s get started!

Breaking Down the Basics of Trigonometry

Trigonometry , at its heart, is all about the relationships between the angles and sides of triangles. The three primary trigonometric functions are sine (sin), cosine (cos), and tangent (tan). Each of these functions defines a specific ratio. For a right-angled triangle:

  • Sine (sin) of an angle is the ratio of the length of the opposite side to the length of the hypotenuse.
  • Cosine (cos) of an angle is the ratio of the length of the adjacent side to the length of the hypotenuse.
  • Tangent (tan) of an angle is the ratio of the length of the opposite side to the length of the adjacent side.

The tangent function is particularly interesting because it can also be defined in terms of sine and cosine: tan(θ) = sin(θ) / cos(θ) . This relationship is crucial for understanding the behavior of the tangent function across different angles.

When we talk about angles, we often visualize them on the unit circle , which is a circle with a radius of 1 centered at the origin of a coordinate plane. Angles are measured counterclockwise from the positive x-axis. A full rotation around the circle is 360 degrees. The sine and cosine functions can be interpreted as the y and x coordinates, respectively, of the point where the terminal side of the angle intersects the unit circle. Since tan(θ) = sin(θ) / cos(θ) , the tangent can be seen as the slope of the line from the origin to that point on the unit circle.

Understanding these fundamental concepts is essential before we tackle more complex angles like 450 degrees. These basics provide the groundwork for understanding how trigonometric functions behave and how we can calculate their values for any given angle. So, make sure you’re comfy with sine, cosine, and tangent, and how they relate to the unit circle. It’ll make everything else much easier!

Understanding Angles and Rotations

Okay, so before we can figure out the tan of 450 degrees, we need to wrap our heads around what angles really mean, especially when they go over the usual 360 degrees. Think of it like this: an angle is just a measure of rotation. Normally, we start at zero degrees, which is like pointing directly to the right on a compass. As you rotate counter-clockwise, the angle increases.

Once you hit 360 degrees, you’ve made a full circle. But what happens if you keep going? Well, you just keep rotating! So, 450 degrees is like making one full rotation (360 degrees) and then rotating an extra 90 degrees. Basically, every angle has a coterminal angle between 0 and 360 degrees that gives you the same result for trig functions.

To find a coterminal angle, you can add or subtract multiples of 360 degrees until you get an angle within that 0 to 360-degree range. For example, to find the coterminal angle for 450 degrees, you subtract 360 degrees: 450 - 360 = 90 degrees. So, 450 degrees is coterminal with 90 degrees.

Why is this useful? Because trigonometric functions like sine, cosine, and tangent repeat their values every 360 degrees. This is known as their periodicity . In other words:

  • sin(θ) = sin(θ + 360k)
  • cos(θ) = cos(θ + 360k)
  • tan(θ) = tan(θ + 360k)

where k is any integer. This means that finding the trig function of an angle greater than 360 degrees is the same as finding the trig function of its coterminal angle between 0 and 360 degrees. This simplifies things a lot!

In summary, when you encounter angles larger than 360 degrees, just remember that they represent rotations beyond a full circle. Find the coterminal angle by subtracting multiples of 360 degrees, and you’ll be working with a more familiar angle. This makes calculating trigonometric functions much easier and more intuitive. So, keep those rotations in mind, and you’ll be golden!

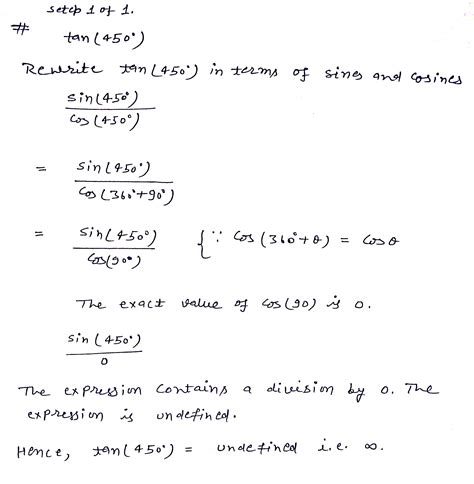
Calculating Tan 450 Degrees

Alright, now that we’ve covered the basics and understand angles and rotations, let’s get down to calculating tan 450 degrees. The key here is to use the concept of coterminal angles. As we discussed earlier, angles that are coterminal have the same trigonometric values. So, instead of directly finding the tangent of 450 degrees, we can find the tangent of its coterminal angle between 0 and 360 degrees.

To find the coterminal angle of 450 degrees, we subtract 360 degrees from it:

450° - 360° = 90°

So, 450 degrees is coterminal with 90 degrees. This means that tan(450°) = tan(90°) . Now, we just need to determine the value of tan 90 degrees.

Recall that the tangent function can be expressed as tan(θ) = sin(θ) / cos(θ) . Thus, tan(90°) = sin(90°) / cos(90°) . We know the values of sine and cosine at 90 degrees:

  • sin(90°) = 1
  • cos(90°) = 0

Therefore, tan(90°) = 1 / 0 . Division by zero is undefined in mathematics. Consequently, the tangent of 90 degrees is undefined.

Since tan(450°) is equal to tan(90°), we can conclude that tan(450°) is also undefined. In summary:

  • Find the coterminal angle: 450° - 360° = 90°
  • Express tangent in terms of sine and cosine: tan(90°) = sin(90°) / cos(90°)
  • Evaluate sine and cosine at 90 degrees: sin(90°) = 1, cos(90°) = 0
  • Determine the tangent: tan(90°) = 1 / 0, which is undefined.

Therefore, tan(450°) is undefined . This is because at 90 degrees, the cosine value is zero, and division by zero is not allowed in mathematics. Understanding these steps will help you tackle similar problems with other angles effortlessly. So, next time you encounter a large angle, remember to find its coterminal angle first and then apply the trigonometric definitions!

Practical Applications and Further Exploration

Now that we know that tan 450 degrees is undefined, you might be wondering, “Okay, cool, but where does this actually matter?” Well, understanding trigonometric functions and their values, even when they’re undefined, is super important in a bunch of fields. Let’s take a quick look at some practical applications and some avenues for further exploration.

Practical Applications

  1. Engineering : Engineers use trigonometric functions all the time to analyze and design structures. For example, when designing bridges, they need to calculate angles and forces. Knowing that certain angles have undefined tangent values helps them avoid designs that could lead to instability.
  2. Physics : In physics, trigonometric functions are used to describe wave motion, oscillations, and the behavior of light and sound. Understanding the tangent function helps in analyzing the slope of these waves and predicting their behavior.
  3. Navigation : Whether it’s mapping out a hiking trail or plotting a course for a ship, trigonometry is essential for navigation. The tangent function can help determine angles of elevation and depression, which are crucial for accurate positioning.
  4. Computer Graphics : When creating 3D models and animations, computer graphics rely heavily on trigonometric functions to rotate and transform objects. Knowing the properties of the tangent function is important for creating realistic and accurate visuals.

Further Exploration

  1. Unit Circle : Dive deeper into the unit circle. Understanding how sine, cosine, and tangent values change as you move around the circle can give you a more intuitive understanding of trigonometry.
  2. Graphing Trigonometric Functions : Explore the graphs of sine, cosine, and tangent functions. Notice how the tangent function has vertical asymptotes at angles where it is undefined. This visual representation can help solidify your understanding.
  3. Trigonometric Identities : Learn about trigonometric identities, which are equations that are always true for any value of the variables. These identities can help you simplify complex trigonometric expressions and solve equations.
  4. Complex Numbers : Trigonometry is closely related to complex numbers. Exploring this connection can lead to a deeper understanding of both topics.

So, while finding that tan 450 degrees is undefined might seem like a dead end, it’s actually a gateway to understanding more complex and practical applications of trigonometry. Keep exploring, and you’ll be amazed at how these concepts show up in the real world!

Conclusion

Alright, guys, let’s wrap things up! We set out to understand what tan 450 degrees is all about, and we’ve covered quite a bit of ground. We started with the basics of trigonometry, looking at sine, cosine, and tangent, and how they relate to the sides of a right-angled triangle. We then dove into understanding angles and rotations, especially those that go beyond 360 degrees, and how to find coterminal angles.

We learned that to find the value of tan 450 degrees, we could simply find the value of tan 90 degrees since 450 and 90 degrees are coterminal. By expressing the tangent function as the ratio of sine to cosine, we found that tan 90 degrees is 1 0 , which is undefined. Therefore, tan 450 degrees is also undefined.

But we didn’t stop there! We also explored some practical applications of trigonometry in fields like engineering, physics, navigation, and computer graphics. Understanding these concepts, even when the values are undefined, is crucial for solving real-world problems and creating accurate models.

So, what’s the big takeaway here? Tan 450 degrees is undefined , but the journey to understanding why is just as important as the answer itself. Keep practicing, keep exploring, and don’t be afraid to dive into more complex topics. Trigonometry might seem intimidating at first, but with a solid foundation and a bit of curiosity, you’ll be mastering angles and functions in no time. Keep up the great work, and happy calculating!