Mean Free Path Explained: The Formula

O.Artsplacecanmore 101 views
Mean Free Path Explained: The Formula

Mean Free Path Explained: The Formula

Hey guys, ever wondered about the mean free path ? It’s a super important concept in physics and chemistry, especially when we’re talking about gases. Basically, it’s the average distance a particle, like a molecule or an atom, travels between collisions. Think of it like this: imagine you’re a tiny billiard ball zipping around a table full of other billiard balls. The mean free path is the average distance you’d cover before bumping into another ball. Sounds simple enough, right? But understanding this concept helps us unlock a bunch of cool stuff, from how gases behave to how semiconductors work. We’re gonna dive deep into what it is, why it matters, and of course, the mean free path formula that makes it all quantifiable.

Understanding the Concept of Mean Free Path

So, let’s get cozy with the idea of mean free path . Imagine a single gas molecule just chilling in a container. It’s not just sitting still, oh no! It’s constantly zooming around at high speeds, bumping into other molecules and the walls of the container. Now, if we could somehow track this one molecule and measure the distance it covers between each of these collisions, we’d get a bunch of different distances. Some paths might be short because it smacks into another molecule almost immediately. Others might be longer if it has a relatively clear run. The mean free path is simply the average of all these distances. It’s a statistical measure, meaning it gives us a typical or expected distance, not a precise one for any single molecule at any given moment. This concept is crucial because it helps us understand phenomena like diffusion, viscosity, and thermal conductivity in gases. For instance, if the mean free path is very short, molecules will collide frequently, leading to faster diffusion and higher viscosity. Conversely, a longer mean free path means fewer collisions and slower diffusion. It’s like the difference between a crowded dance floor where you’re constantly bumping into people and an almost empty one where you can move freely. The state of the gas—its pressure, temperature, and density—all play a big role in determining this average distance. Higher pressure means more molecules packed into the same space, so they’ll bump into each other more often, leading to a shorter mean free path. Lower temperature means molecules are moving slower, which might seem like it would lead to fewer collisions, but it’s the density that’s often the dominant factor. We’ll explore how these factors tie into the formula later on, but for now, just keep picturing those zippy molecules and their average journey between bumps.

The Factors Influencing Mean Free Path

Alright, so what actually messes with the mean free path ? Guys, it’s not just one thing; a few key players dictate how far a particle can travel before it gets into a cosmic fender bender. The most significant factor is density . Think about it: if you cram a ton of molecules into a small space, the odds of them running into each other skyrocket. So, high density equals a short mean free path. Conversely, if you have a gas spread out thinly (low density), molecules have more elbow room, and the mean free path gets longer. This is why the mean free path is drastically different in a vacuum compared to the air we breathe. Next up, we have the size of the particles themselves. Bigger molecules are like larger obstacles on that billiard table; they’re more likely to intercept a traveling molecule. So, if you have larger gas molecules, the mean free path tends to be shorter. Smaller molecules have a better chance of slipping past each other. It’s like trying to navigate through a crowd of beach balls versus a crowd of marbles – the beach balls are going to block your path way more often. Then there’s temperature , which indirectly influences things. While temperature directly affects the speed of the molecules, the mean free path formula primarily depends on density and particle size. However, if we’re talking about a fixed amount of gas in a fixed volume, increasing the temperature increases the pressure (density effectively increases as molecules push harder), which would decrease the mean free path. If the volume can expand to keep pressure constant, then increasing temperature means molecules move faster, but the density drops, potentially increasing the mean free path in some scenarios. It gets a bit nuanced, but the core idea is that how packed the particles are and how big they are are the main drivers. So, remember: density and particle size are your big hitters when predicting the mean free path.

Deriving the Mean Free Path Formula

Now, let’s get our hands dirty with the mean free path formula . It’s not some arcane secret; it’s derived from some pretty logical reasoning. We want to find the average distance a particle travels between collisions. Let’s consider a single molecule moving through a gas composed of identical molecules. For simplicity, imagine our target molecule is stationary and all other molecules are moving towards it. If ‘n’ is the number of molecules per unit volume (number density), and ’d’ is the diameter of a molecule, then the ‘collision cross-section’ for our stationary molecule is essentially the area it presents to oncoming molecules, which is \(\pi d^2\) . A molecule traveling will collide with another molecule if its center passes within a distance ’d’ of the center of any other molecule. So, in a small volume element the molecule travels through, any other molecule whose center lies within this collision volume ( \(Area \times distance\) ) will cause a collision. The number of molecules in this volume is \(n \times (Area \times distance)\) . So, the distance traveled before the next collision is inversely proportional to the number density and the collision cross-section. If we think about the rate of collisions, it’s proportional to \(n \times \sigma \times v\) , where \(\sigma\) is the collision cross-section and \(v\) is the relative speed. The average time between collisions ( \(\tau\) ) would then be the inverse of this rate: \(\tau \approx 1 / (n \sigma v)\) . Since distance equals speed times time ( \(distance = speed \times time\) ), the mean free path ( \(\lambda\) ) would be \(v \times \tau\) . Substituting our expression for \(\tau\) , we get \(\lambda \approx v \times (1 / (n \sigma v)) = 1 / (n \sigma)\) .

The Basic Formula and Its Assumptions

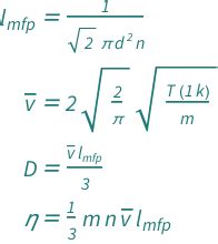
So, the most fundamental expression for the mean free path ( \(\lambda\) ) is given by: \(\lambda = 1 / (n \sigma)\) . Here, ‘n’ is the number density of the particles (number of particles per unit volume), and ‘ \(\sigma\) ’ is the collision cross-section. For spherical molecules of diameter ’d’, the collision cross-section is \(\sigma = \pi d^2\) . Therefore, the formula often looks like: \(\lambda = 1 / (n \pi d^2)\) . This simple formula works well under certain assumptions, guys. First, it assumes all molecules are identical spheres. Real molecules aren’t perfect spheres, but this is a good approximation for many gases. Second, and this is a big one, it assumes that the target molecule is stationary while all other molecules are moving. This is a simplification because, in reality, all molecules are in motion. If we account for the relative motion of all molecules, the formula needs a slight adjustment. It also assumes that the molecules are much smaller than the mean free path itself; otherwise, the concept of a simple collision cross-section breaks down. Finally, this derivation often implicitly assumes ideal gas behavior, meaning we ignore intermolecular forces except during collisions. Despite these assumptions, this basic formula provides a solid foundation for understanding how density and particle size affect the average distance traveled between collisions. It highlights that as density (n) increases, the mean free path ( \(\lambda\) ) decreases, and as the particle size (d) increases, the collision cross-section ( \(\sigma\) ) increases, also causing the mean free path ( \(\lambda\) ) to decrease. Pretty neat, huh?

Refining the Formula: Considering Molecular Motion

Alright, so the basic formula \(\lambda = 1 / (n \pi d^2)\) is a great start, but it’s based on the idea that our molecule is dodging stationary obstacles. In the real world, all the molecules are zipping around! This means we need to consider the relative speed between molecules, not just the speed of our one target molecule. When we factor in the random thermal motion of all the particles, the number of collisions per unit time is actually higher than predicted by the stationary target model. The rate of collisions depends on the average relative speed between molecules, which is slightly higher than the average speed of a single molecule. To correct for this, the formula for the mean free path is modified by a factor related to the distribution of molecular speeds. For a Maxwell-Boltzmann distribution of speeds, which is typical for gases, this leads to the refined formula: \(\lambda = 1 / (\sqrt{2} n \sigma)\) . Or, substituting \(\sigma = \pi d^2\) , we get \(\lambda = 1 / (\sqrt{2} n \pi d^2)\) . That factor of \(\sqrt{2}\) might seem small, but it’s significant! It accounts for the fact that molecules are colliding with other moving molecules, not just static targets. This adjusted formula is more accurate for real gases. It tells us that the actual mean free path is about 70.7% of what the simpler formula would predict. This refinement is crucial for accurate calculations in fields like gas dynamics and plasma physics where precise understanding of molecular interactions is key. So, while \(1/(n\sigma)\) gives you the general idea, remember that \(\lambda = 1 / (\sqrt{2} n \sigma)\) is the one that usually gets you closer to the real-world answer when dealing with gases in thermal equilibrium. Keep this \(\sqrt{2}\) in your back pocket, guys!

The Mean Free Path Formula in Action

Let’s put the mean free path formula to work with some real-world examples. Understanding these helps solidify the concept and shows you why it’s not just some abstract physics idea. Think about the air we breathe. At standard atmospheric pressure and room temperature, the number density ‘n’ of air molecules is roughly \(2.7 imes 10^{25} m^{-3}\) . The effective diameter ’d’ of an air molecule (like Nitrogen or Oxygen) is around \(3 imes 10^{-10}\) meters. Using the refined formula, \(\lambda = 1 / (\sqrt{2} n \pi d^2)\) , we can calculate the mean free path. Plugging in the numbers: \(\sigma = \pi (3 imes 10^{-10} m)^2 \approx 2.8 imes 10^{-19} m^2\) . So, \(\lambda \approx 1 / (\sqrt{2} \times 2.7 imes 10^{25} m^{-3} \times 2.8 imes 10^{-19} m^2) \approx 1 / (1.1 \times 10^7 m^{-1}) \approx 9 imes 10^{-8}\) meters. That’s about 90 nanometers, or roughly 300 times the diameter of a molecule! This means, on average, a molecule in the air travels about 90 nanometers before it collides with another molecule. Pretty tiny distances, but huge compared to the size of the molecules themselves. This short mean free path is why gases behave the way they do—they mix readily, and heat transfers relatively efficiently through molecular collisions.

Examples in Different Environments

Let’s explore how the mean free path changes in different environments, highlighting the power of the mean free path formula . Consider a high-vacuum system, like the one used in semiconductor manufacturing or space. In a good vacuum, the number density ‘n’ is drastically reduced, maybe to \(10^{10} m^{-3}\) or even lower. If we use the same air molecules ( \(d \approx 3 imes 10^{-10}\) m), the mean free path becomes enormous. Using \(\lambda = 1 / (\sqrt{2} n \pi d^2)\) : \(\lambda \approx 1 / (\sqrt{2} \times 10^{10} m^{-3} \times \pi \times (3 imes 10^{-10} m)^2) \approx 1 / (1.2 imes 10^{-8} m^{-1}) \approx 8.3 imes 10^7\) meters! That’s over 83,000 kilometers – roughly twice the circumference of the Earth! In such a vacuum, a molecule can travel for a very, very long distance without hitting another molecule. This is why vacuum chambers are used for certain industrial processes; it minimizes unwanted collisions. Now, think about a dense gas like liquid helium at its boiling point. The number density is much higher, around \(2 imes 10^{28} m^{-3}\) , and the effective diameter is smaller, say \(1 imes 10^{-10}\) m. The mean free path calculation would yield: \(\lambda \approx 1 / (\sqrt{2} \times 2 imes 10^{28} m^{-3} \times \pi \times (1 imes 10^{-10} m)^2) \approx 1 / (8.8 imes 10^7 m^{-1}) \approx 1.1 imes 10^{-8}\) meters, or about 11 nanometers. This is incredibly short, highlighting the constant jostling in liquids. These examples show that the mean free path formula isn’t just theoretical; it quantitatively explains why gases behave so differently at various pressures and densities. It’s the secret sauce behind understanding everything from atmospheric science to the behavior of materials in extreme conditions!

Applications and Importance

The mean free path isn’t just a cool physics fact; it has massive real-world implications across many fields, all thanks to the mean free path formula . In materials science, for example, understanding the mean free path of electrons is crucial for designing conductors and semiconductors. If electrons have a long mean free path, they can travel through the material with fewer scattering events, leading to higher conductivity. This is why engineers strive to create purer materials with fewer defects that can impede electron movement. Think about microelectronics – the pathways are so tiny that the mean free path of electrons becomes a dominant factor in device performance. In atmospheric science, the mean free path of photons (light particles) influences how light travels through the atmosphere, affecting everything from the color of the sky to the effectiveness of solar panels. The mean free path of air molecules also dictates the efficiency of heat transfer and the speed of sound. In the medical field, particularly in radiation therapy, the mean free path of radiation particles determines how deeply they penetrate tissues, which is vital for targeting tumors effectively while minimizing damage to healthy cells. Even in astrophysics, the mean free path of particles in interstellar space is essential for understanding cosmic ray propagation and the formation of stars and galaxies. Basically, anywhere you have particles moving and colliding—from tiny atoms to massive cosmic bodies—the concept of mean free path and its governing formula helps us predict and understand their behavior. It’s a fundamental concept that bridges microscopic interactions with macroscopic phenomena, making it indispensable for scientific and technological advancement. So, the next time you hear about pressure or density, remember the hidden dance of molecules and the average distance they travel between steps – the mean free path!